Skogsföryngring. SLU, Sveriges Lantbruksuniversitet fick den 14 juni 2022 en vetenskaplig artikel godkänd av Taylor & Francis som fritt översatt till svenska heter “Kommer intensiteten i skogsföryngringsåtgärder att förbättra volymproduktionen och ekonomin?”. Det är en studie gjord av Axelina Jonsson, Björn Elfving, Karin Hjelm, Tomas Lämås och Urban Nilsson.
Resultatet visar att skogsföryngring är ett komplext ämne men samtidigt finns tydliga tecken på att om skogsägaren ska ha en någorlunda lönsamhet under en omloppsperiod så ska man inte alltid göra som idag och återplantera medelst markberedning och inköpta skogsplantor.
Föryngringsstudie som startade i mitten av 1980-talet
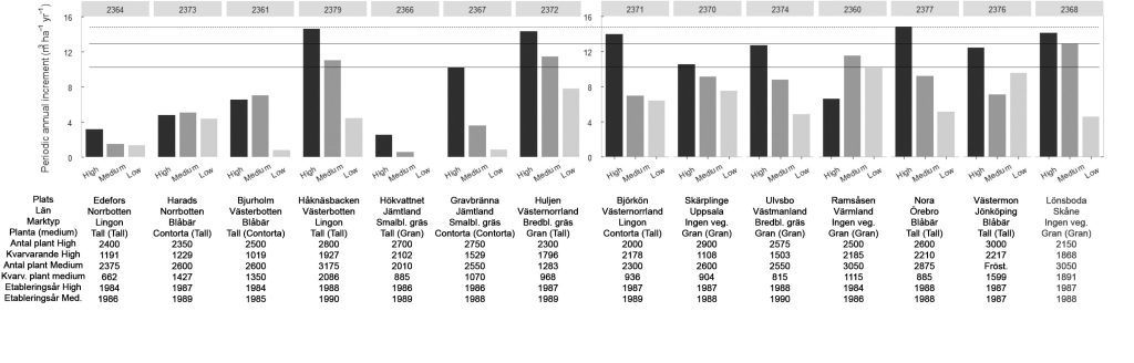
Studien baseras på 14 platser runt om i Sverige där försöksodling startades i mitten av 1980-talet. Varje plats har från starten indelats i tre celler. En cell där man försökt att maxa produktionen (högintensiv) med tidig återplantering med markberedning och gärna barrotsplantor. Trädslag valdes utifrån vad man trodde gav bäst volymtillväxt. En yta där man idkat hyggesvila och sedan markberett (medelintensiv) och sedan oftast planterat med täckrotsplantor med trädslag som är vanlig för ståndorten. Samt en yta där man inte gjort något efter avverkning, absolut ingenting och förlitade sig på naturens egen självföryngring.
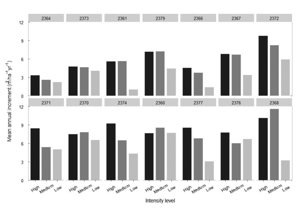
Iskogen pratade med Urban Nilsson som varit delaktig i studien och intressant är att man använt ett gammalt, insomnat, projekt med försöksytor från Edefors i Norrbotten till Lönsboda i Skåne. 2019 gjordes en skogsinventering av alla provytor för att se hur tillväxten utvecklats. Inom varje cell, som är ca 1 hektar i storlek, skapades fem fasta provytor, totalt inventerades således 210 provytor.

Med hjälp av all data har man sedan gjort prognoser i dataprogrammet Heureka. Man skulle kunna säga att man i Heureka snabbspolat fram till tid för slutavverkning. Resultatet från Heureka visar att 8 av 42 provytor, eller knappt 20 % genererar ett minusvärde uttryckt i kr per hektar. Alla av dessa 8 var planterade och markberedda. Detta gäller vid en så kallad kalkylränta på 2,5 %.
På grund av bonitet och växtlighet finns flest minusposter (vid en kalkylränta på 2,5 %) på områdena i Norrland men inte ens i Skåne lyckas den “optimala” skogsföryngringen vinna. Slutlig “vinnare” är istället mediumvarianten i Skåne med täckrotsplantering och hyggesvila. Tittar man förbi Skånes område så hamnar en “sofflocksyta” utanför Kil i Värmland bäst till. Helt orört efter avverkning ger i detta fall kalmarksvärde (nuvärde) på ca. +30.000 kr per hektar. Motsatsen i studien är täckrotsplantering i norra Norrland. Denna ger ett nuvärde om -10.000 kr per hektar.

Kanske lite motsägelsefullt så är det ändå så att de provytor där man försökt maxa produktionen med ex. tidig plantering med barrotsplantor de som har högst stående volym och bästa tillväxten. Paradoxen kan vara att ur ett ekonomiskt perspektiv kan denna tillväxt verka som en chimär för skogsägaren. Det ser frodigt och bra ut men utslaget på en omloppsperiod så är det enligt studien inte alltid optimalt ekonomiskt.
Skogsföryngring vs. aktier?
Kalkylen som forskarna använt är beräkning av kalmarksvärde som är ett nuvärde som beräknas genom “Faustmanns formel”. Det viktiga med denna är att se återplanteringen som en investering i en kalkyl som ska ge en framtida avkastning. Ett sätt att se på detta är att använda intäkterna från avverkningen på en hektar för att delvis investera i skogsföryngring på samma plats. De föryngringsåtgärder som idag kan vara vanliga och relativt dyra kan motsvara 15 – 20 % av virkeslikviden från den utförda avverkningen.
På ett hektar kan det handla om en investering på 25.000 kr för en skogsföryngring. Det är dessa pengar som senare ska ge avkastning då det är en investering. Jämför med att ta 15 – 20 % av intäkten från en avverkning och investera på börsen. I genomsnitt baseras de senaste 30 åren på Stockholmsbörsen så kan du kalkylera med en årsavkastning på ca. 12 %. Detta kan då vara kalkylräntan.

Forskarna i artikeln har räknat med en högsta kalkylränta på 2,5 % och ändå inte fått ihop det. Det finns säkert de som säger att man inte kan jämföra aktier med skog men det kan vi låta vara osagt. 2,5 % är på intet sätt orimligt då det bl.a. korrelerar med Riksbankens inflationsmål. Det viktiga är att titta på de interna skillnaderna i studien. Här visar resultatet att allra bäst avkastning, sett som ett snitt i Sverige, troligtvis idag kan fås genom den så kallade sofflocksmodellen. Helt enkelt avverka och sedan göra absolut ingenting och låta naturens egen självföryngring göra jobbet.
Du kan själv titta på det om man tar bort extremerna i studien. Edefors i Norrbotten står ut i negativ klang. De skriver i studien att området varit hårt viltbetat. Lönsboda står ut i positiv bemärkelse och anledningen förutom bra bonitet är svår att sia om. Men om man tar bort dessa extremer så blir det, ur ett nationellt perspektiv mer eller mindre klart att sofflocksmodellen kan vara det ekonomiskt mest optimala.
Nuvärdet är avhängigt på vilken kalkylränta man sätter men också etableringskostnader för skogsföryngring efter avverkning (kostnad för markberedning, plantor, plantering, hjälpplantering och röjning). Avverkningskostnad och naturligtvis virkespriset vid gallring och slutavverkning är givetvis också viktiga faktorer.
Något man kan invända mot i studien är den ekonomiska beräkningen. Dels hur bra Faustmanns formel verkligen är men också i aspekten att det kan finnas annat än virkesvärde som skapar lönsamhet i framtiden. Ett exempel är betalning för kolsänka och då är höga virkesförråd att föredra.
Å andra sidan verkar inte riskerna klarlagda i studien. Det studien fastslår är att om man planterar så tenderar det till att bli en monokultur eller snudd på. Det har att göra med att man inte gärna röjer ner “dyra” plantor man investerat i. Med dagens klimatomställning så kan det vara ett högriskprojekt med monokulturer. Det kan handla om svamp- eller insektsangrepp, torka och storm (alla ägg i samma korg).
Huruvida Heureka har med denna riskaspekt i uträkningen framgår inte. Är detta inte med så kan det då bli ytterligare fördel för sofflocksmodellen som skogsföryngring. Detta eftersom den överlag skapar blandbestånd. Detta visas också i studien som fastslår att lövinslaget ökar markant vid “sofflocksmodellen”. Även på magrare marker i norra Sverige.
Naturlig skogsföryngring säkrare men sämre tillväxt
Ytterligare en aspekt i detta är vad vi påpekat många gånger under de senaste åren om att oftast ett trädslag planteras efter avverkning. Utan att ta hänsyn till skillnader i ståndort inom beståndet så ökar risken för skador och mindre tillväxt. Kanske hanterar naturen detta bättre själv? När vi pratar med Urban Nilsson så framkommer det att det är svårt att slå naturen i skogsföryngringen. Hundratusentals frö fajtas om att få bäst start och troligtvis gäller “survival of the fittest”. Fördelen med köpta skogsplantor är att de är förädlade och växer snabbare.
Under samma tid som diskussionen om ersättning för kolsänka i växande skog tar fart så finns också diskussioner om att skapa ersättningsmodeller för biologisk mångfald. Börjar sådana modeller ta form så torde också blandskogen och kanske också självföryngringen bli än mer attraktiva.
Skogsföryngring är ett komplext ämne och detta trycker även Urban Nilsson på när vi pratar med honom. Det är en ”utomhussport” där kända och okända faktorer kan påverka föryngringen. Detta vittnar även den studie om kvaliteten på återväxten från Skogforsk. Många ”dyra” skogsplantor försvinner spårlöst innan det är dags för skogsröjningen. Att sedan man riskerar att ”gå back” om ett planterat träd avverkas i gallringen gör det inte bättre.








